Hacıbektaş 111 Konut Projesi (250.000 Sosyal Konut Projesi) kapsamında 103 Evler bölgesinde inşa edilen dairelerin hak sahipleri için heyecanlı bekleyiş sona eriyor. Konut belirleme kurası, ödeme planları ve sözleşme tarihleri resmiyet kazandı.
Konut Belirleme Kurası 16 Nisan’da!
Hak sahiplerinin hangi dairede oturacağını belirleyecek olan "Konut Belirleme Kurası", 16 Nisan 2026 Perşembe günü saat 12:00’de gerçekleştirilecek. Kura çekimi, TOKİ’nin resmi YouTube hesabı üzerinden canlı olarak yayınlanacak.
Sözleşme İşlemleri Ne Zaman?
Kura sonucunda konutları netleşen vatandaşlar, 27 Nisan – 08 Mayıs 2026 tarihleri arasında Gayrimenkul Satış Sözleşmesi imzalama işlemlerini gerçekleştirebilecekler. İşlemler, T.C. Ziraat Bankası A.Ş.’nin tüm şubeleri üzerinden yapılabilecek.
"Konut belirleme süreci, hak sahiplerinin katılımına gerek duyulmaksızın, tamamen şeffaf ve denetlenebilir bir ortamda gerçekleştirilecek. Kura çekimi, TOKİ’nin Ankara’daki merkezinde noter huzurunda yapılacak olup, dijital (bilgisayar) ortamda otomatik eşleştirme yöntemiyle tamamlanacaktır. Bu sistem sayesinde her hak sahibinin ismi, hiçbir dış müdahale olmaksızın, tamamen tarafsız bir yazılım aracılığıyla blok, kat ve daire numarasıyla eşleşecektir.
Vatandaşların bu heyecanlı anları anlık olarak takip edebilmesi için tüm süreç 16 Nisan saat 12:00’den itibaren TOKİ’nin resmi YouTube kanalı üzerinden canlı yayınlanacaktır. Kuraya bizzat katılma zorunluluğu bulunmayan hak sahipleri, kura bitiminin ardından sonuçları e-Devlet kapısı üzerinden veya TOKİ’nin resmi internet sitesinden T.C. kimlik numaraları ile sorgulayabileceklerdir."
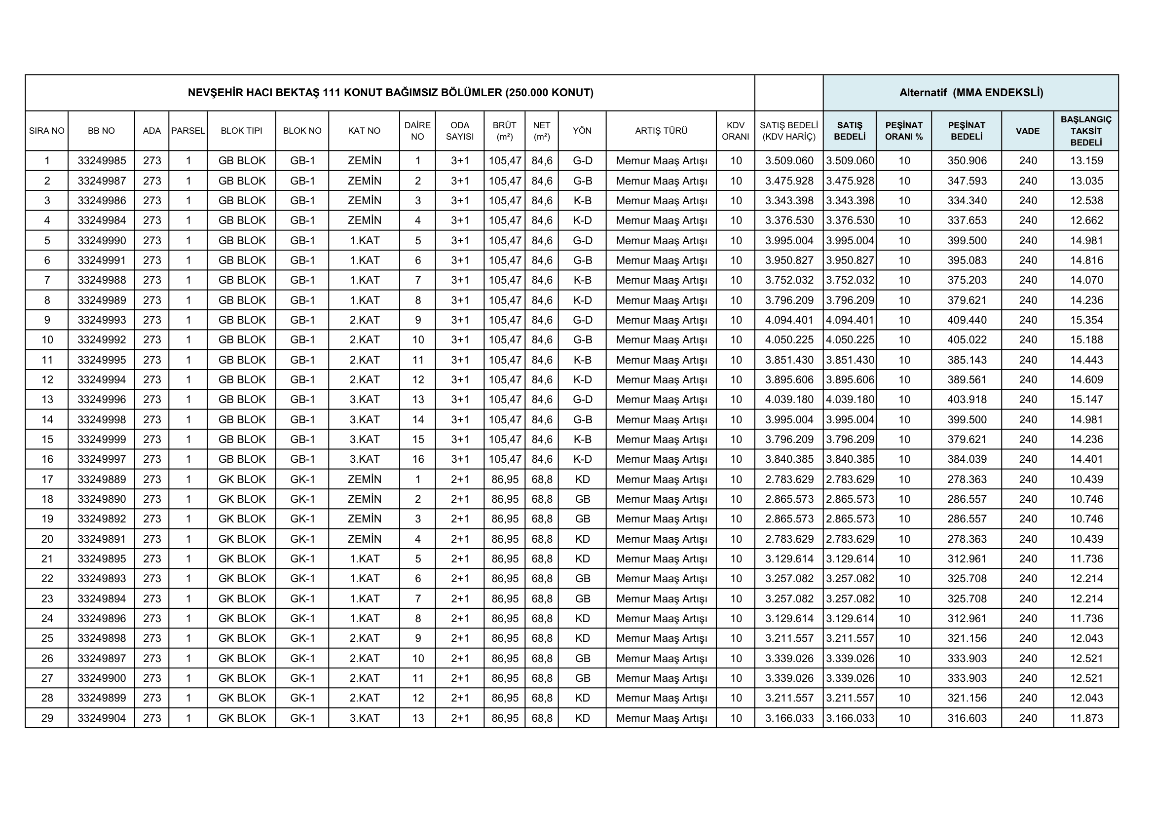
Daire Fiyatları ve Ödeme Detayları
Ekteki resmi listelere göre konutların fiyat ve ödeme bilgileri şu şekildedir:
-
2+1 Konutlar:
-
Fiyatlar yaklaşık 3.229.000 TL ile 3.311.000 TL arasında değişmektedir.
-
Peşinat: %10 oranında (Ortalama 322.000 TL - 331.000 TL civarı).
-
Başlangıç Taksiti: Yaklaşık 12.112 TL'den başlamaktadır.
-
Vade: 240 Ay.
-
-
3+1 Konutlar:
-
Fiyatlar yaklaşık 3.509.000 TL seviyesinden başlamaktadır.
-
Peşinat: %10 oranında (Yaklaşık 350.906 TL).
-
Başlangıç Taksiti: Yaklaşık 13.159 TL'den başlamaktadır.
-
Vade: 240 Ay.
-
Hacıbektaş 3.Etap TOKİ (103 Evler Bölgesi) 111 Konut Projesi kapsamında konut listesi incelendiğinde, daire sayılarının oda tipine göre dağılımı şu şekildedir:
-
2+1 Daire Sayısı: 92 adet (KURAYA ÇIKAN 89)
-
3+1 Daire Sayısı: 19 adet (KURAYA ÇIKAN 16)
-
Toplam Daire Sayısı: 111 adet
16 Nisan'da yapılacak kura çekiminde bu toplam 105 dairenin hak sahipleri belirlenecektir.
NOT: YAKIN ZAMANDA 500 BİN KONUT PROJESİ KAPSAMINDA HACIBEKTAŞ 4. ETAP TOKİ 100 KONUT PROJESİ İLE İLGİLİ HERHANGİ BİR BİLGİ HENÜZ PAYLAŞILMAMIŞTIR.
iŞTE DAİRE FİYAT ÖDEME VE PEŞİNAT LİSTESİ










